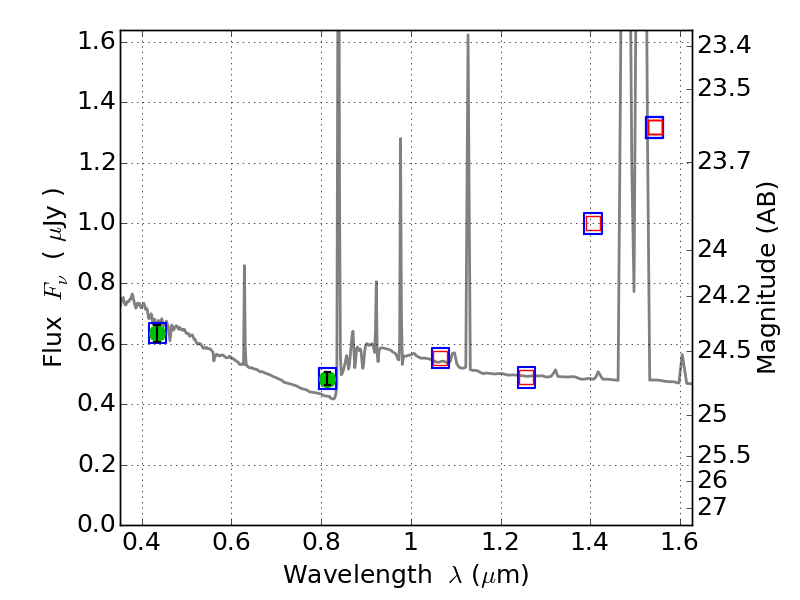
RXC0232-44 ACS+IR detection object #6050

Color images and BPZ results
Catalog: 6050.cat
Black segments are analyzed here.   Roll mouse over color images to view segments.
Best viewed in a wide browser window (1200 pixels or more).   Download SED & P(z) plots to view larger versions.
In P(z) plots: Yellow lines mark the cluster redshift z = 0.284,  

Object #6050   x,y = (3624, 388)   RA, Dec = (02:32:12.024, -44:22:48.72) = (38.05010, -44.38020)   BPZ = 1.252 [1.108--2.523]   type = 10.80 (SB11_A_0_l - SB3_B10)   chisq2 = 0.00   ODDS = 0.17   z_cluster = 0.284