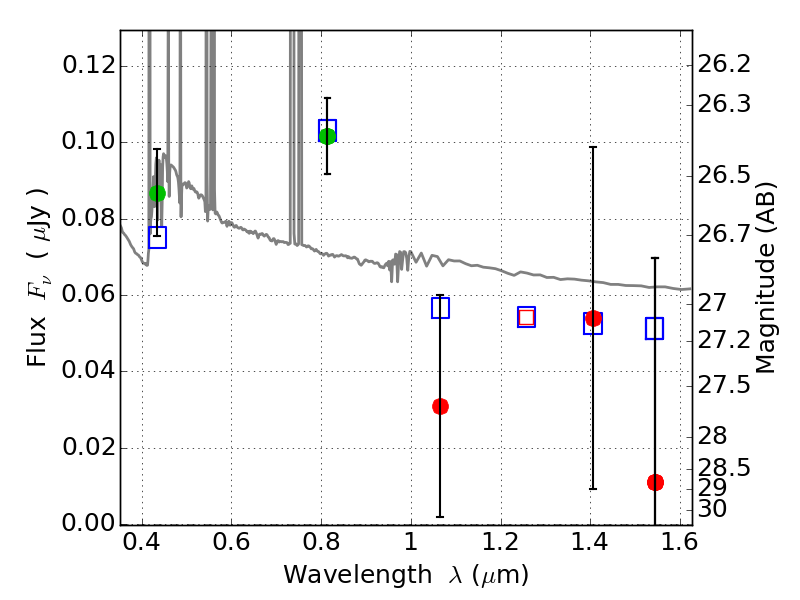
RXC0232-44 ACS+IR detection object #5577

Color images and BPZ results
Catalog: 5577.cat
Black segments are analyzed here.   Roll mouse over color images to view segments.
Best viewed in a wide browser window (1200 pixels or more).   Download SED & P(z) plots to view larger versions.
In P(z) plots: Yellow lines mark the cluster redshift z = 0.284,  

Object #5577   x,y = (2421, 1099)   RA, Dec = (02:32:18.768, -44:22:06.24) = (38.07820, -44.36840)   BPZ = 0.119 [0.068--3.086]   type = 11.00 (SB11_A_0_l)   chisq2 = 0.59   ODDS = 0.30   z_cluster = 0.284