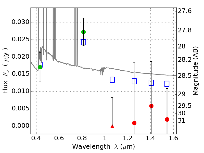
RXC0232-44 ACS+IR detection object #4645

Color images and BPZ results
Catalog: 4645.cat
Black segments are analyzed here.   Roll mouse over color images to view segments.
Best viewed in a wide browser window (1200 pixels or more).   Download SED & P(z) plots to view larger versions.
In P(z) plots: Yellow lines mark the cluster redshift z = 0.284,  

Object #4645   x,y = (2495, 1639)   RA, Dec = (02:32:18.360, -44:21:33.84) = (38.07650, -44.35940)   BPZ = 0.134 [0.080--0.935]   type = 11.00 (SB11_A_0_l)   chisq2 = 1.36   ODDS = 0.50   z_cluster = 0.284