RXC0232-44 ACS+IR detection object #4542

Color images and BPZ results
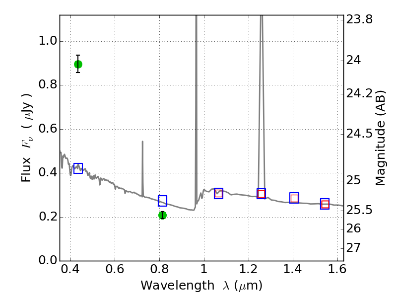
Catalog: 4542.cat
Black segments are analyzed here.   Roll mouse over color images to view segments.
Best viewed in a wide browser window (1200 pixels or more).   Download SED & P(z) plots to view larger versions.
In P(z) plots: Yellow lines mark the cluster redshift z = 0.284,  

Object #4542   x,y = (312, 1701)   RA, Dec = (02:32:30.552, -44:21:29.88) = (38.12730, -44.35830)   BPZ = 1.593 [1.496--1.977]   type = 11.00 (SB11_A_0_l)   chisq2 = 108.00   ODDS = 0.80   z_cluster = 0.284