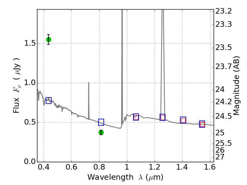
RXC0232-44 ACS+IR detection object #441

Color images and BPZ results
Catalog: 441.cat
Black segments are analyzed here.   Roll mouse over color images to view segments.
Best viewed in a wide browser window (1200 pixels or more).   Download SED & P(z) plots to view larger versions.
In P(z) plots: Yellow lines mark the cluster redshift z = 0.284,  

Object #441   x,y = (1175, 4011)   RA, Dec = (02:32:25.728, -44:19:11.28) = (38.10720, -44.31980)   BPZ = 1.593 [1.508--1.933]   type = 11.00 (SB11_A_0_l)   chisq2 = 98.90   ODDS = 0.85   z_cluster = 0.284