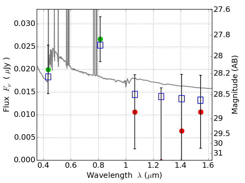
RXC0232-44 ACS+IR detection object #4337

Color images and BPZ results
Catalog: 4337.cat
Black segments are analyzed here.   Roll mouse over color images to view segments.
Best viewed in a wide browser window (1200 pixels or more).   Download SED & P(z) plots to view larger versions.
In P(z) plots: Yellow lines mark the cluster redshift z = 0.284,  

Object #4337   x,y = (2244, 1815)   RA, Dec = (02:32:19.752, -44:21:23.04) = (38.08230, -44.35640)   BPZ = 0.171 [0.073--3.294]   type = 11.00 (SB11_A_0_l)   chisq2 = 0.30   ODDS = 0.29   z_cluster = 0.284