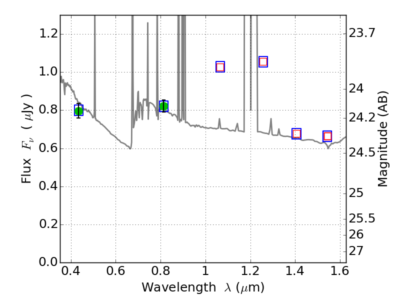
RXC0232-44 ACS+IR detection object #3315

Color images and BPZ results
Catalog: 3315.cat
Black segments are analyzed here.   Roll mouse over color images to view segments.
Best viewed in a wide browser window (1200 pixels or more).   Download SED & P(z) plots to view larger versions.
In P(z) plots: Yellow lines mark the cluster redshift z = 0.284,  

Object #3315   x,y = (564, 2314)   RA, Dec = (02:32:29.136, -44:20:53.16) = (38.12140, -44.34810)   BPZ = 0.813 [0.487--2.823]   type = 10.80 (SB11_A_0_l - SB3_B10)   chisq2 = 0.00   ODDS = 0.13   z_cluster = 0.284