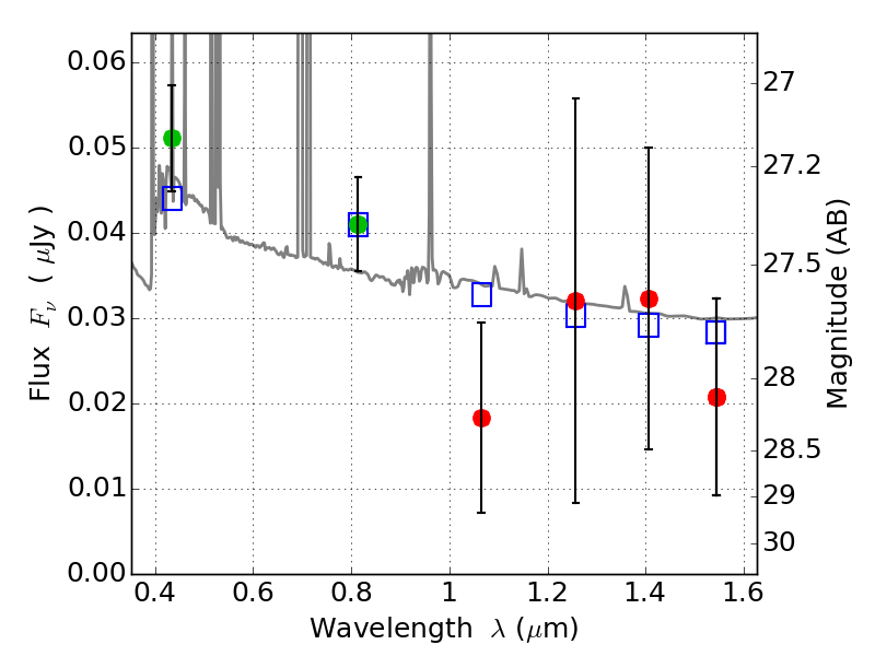
RXC0232-44 ACS+IR detection object #3173

Color images and BPZ results
Catalog: 3173.cat
Black segments are analyzed here.   Roll mouse over color images to view segments.
Best viewed in a wide browser window (1200 pixels or more).   Download SED & P(z) plots to view larger versions.
In P(z) plots: Yellow lines mark the cluster redshift z = 0.284,  

Object #3173   x,y = (1940, 2562)   RA, Dec = (02:32:21.456, -44:20:38.40) = (38.08940, -44.34400)   BPZ = 0.059 [0.045--2.821]   type = 10.90 (SB11_A_0_l - SB3_B10)   chisq2 = 0.64   ODDS = 0.08   z_cluster = 0.284