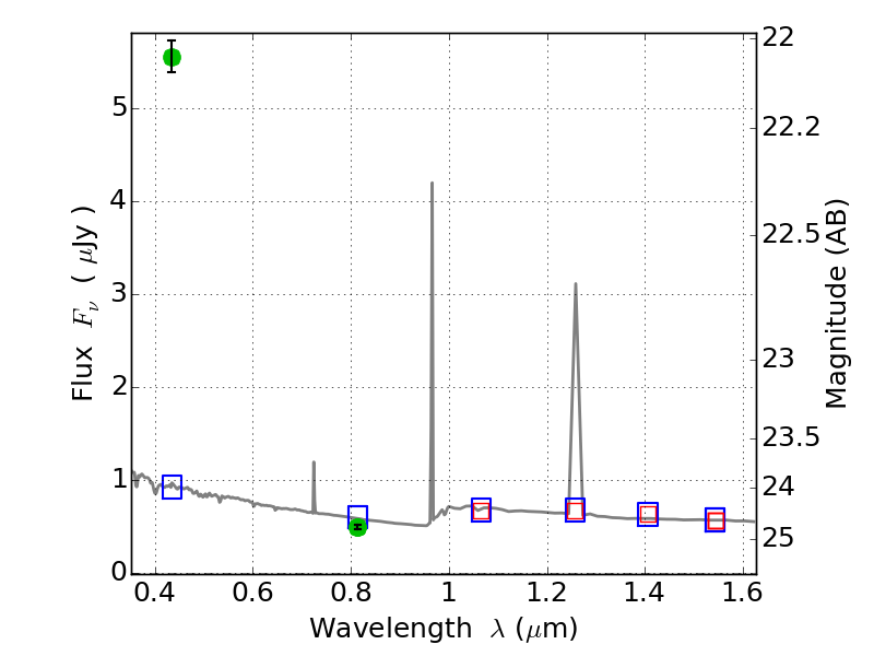
RXC0232-44 ACS+IR detection object #258

Color images and BPZ results
Catalog: 258.cat
Black segments are analyzed here.   Roll mouse over color images to view segments.
Best viewed in a wide browser window (1200 pixels or more).   Download SED & P(z) plots to view larger versions.
In P(z) plots: Yellow lines mark the cluster redshift z = 0.284,  

Object #258   x,y = (1280, 4257)   RA, Dec = (02:32:25.152, -44:18:56.52) = (38.10480, -44.31570)   BPZ = 1.593 [1.508--1.930]   type = 11.00 (SB11_A_0_l)   chisq2 = 686.30   ODDS = 0.85   z_cluster = 0.284