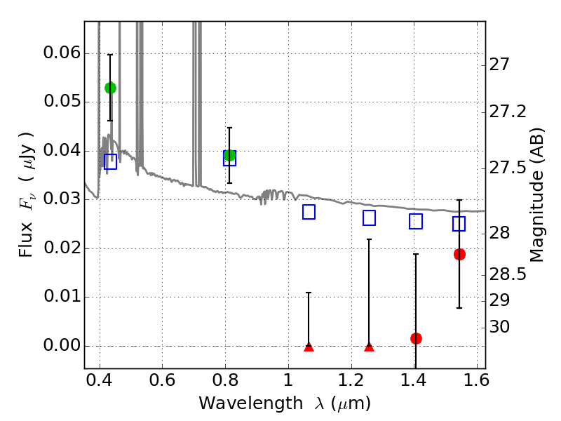
RXC0232-44 ACS+IR detection object #2423

Color images and BPZ results
Catalog: 2423.cat
Black segments are analyzed here.   Roll mouse over color images to view segments.
Best viewed in a wide browser window (1200 pixels or more).   Download SED & P(z) plots to view larger versions.
In P(z) plots: Yellow lines mark the cluster redshift z = 0.284,  

Object #2423   x,y = (2980, 2835)   RA, Dec = (02:32:15.624, -44:20:21.84) = (38.06510, -44.33940)   BPZ = 0.072 [0.049--2.809]   type = 11.00 (SB11_A_0_l)   chisq2 = 2.44   ODDS = 0.12   z_cluster = 0.284