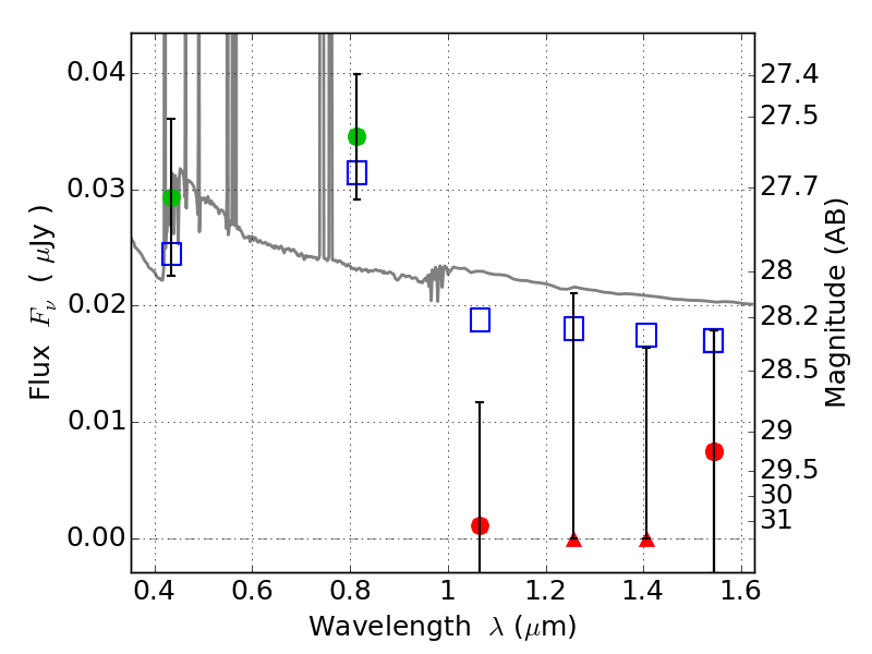
RXC0232-44 ACS+IR detection object #2407

Color images and BPZ results
Catalog: 2407.cat
Black segments are analyzed here.   Roll mouse over color images to view segments.
Best viewed in a wide browser window (1200 pixels or more).   Download SED & P(z) plots to view larger versions.
In P(z) plots: Yellow lines mark the cluster redshift z = 0.284,  

Object #2407   x,y = (2398, 2840)   RA, Dec = (02:32:18.888, -44:20:21.84) = (38.07870, -44.33940)   BPZ = 0.128 [0.069--2.791]   type = 11.00 (SB11_A_0_l)   chisq2 = 1.33   ODDS = 0.48   z_cluster = 0.284