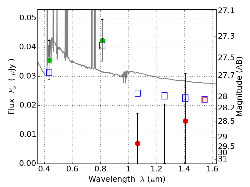
RXC0232-44 ACS+IR detection object #2098

Color images and BPZ results
Catalog: 2098.cat
Black segments are analyzed here.   Roll mouse over color images to view segments.
Best viewed in a wide browser window (1200 pixels or more).   Download SED & P(z) plots to view larger versions.
In P(z) plots: Yellow lines mark the cluster redshift z = 0.284,  

Object #2098   x,y = (2617, 2980)   RA, Dec = (02:32:17.664, -44:20:13.20) = (38.07360, -44.33700)   BPZ = 0.133 [0.079--3.137]   type = 11.00 (SB11_A_0_l)   chisq2 = 1.51   ODDS = 0.25   z_cluster = 0.284