RXC0232-44 ACS+IR detection object #1756

Color images and BPZ results
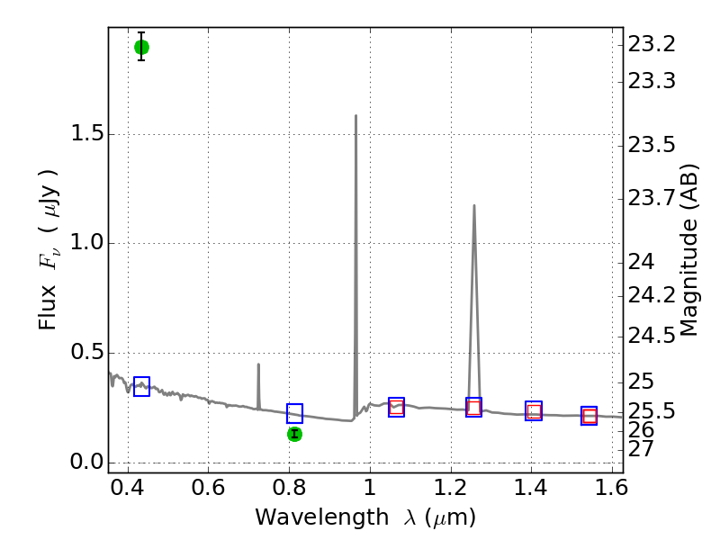
Catalog: 1756.cat
Black segments are analyzed here.   Roll mouse over color images to view segments.
Best viewed in a wide browser window (1200 pixels or more).   Download SED & P(z) plots to view larger versions.
In P(z) plots: Yellow lines mark the cluster redshift z = 0.284,  

Object #1756   x,y = (4552, 3220)   RA, Dec = (02:32:06.840, -44:19:58.80) = (38.02850, -44.33300)   BPZ = 1.593 [1.487--2.002]   type = 11.00 (SB11_A_0_l)   chisq2 = 522.40   ODDS = 0.77   z_cluster = 0.284