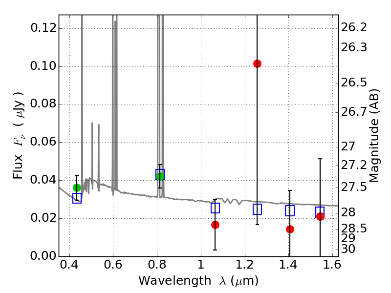
RXC0232-44 ACS+IR detection object #1579

Color images and BPZ results
Catalog: 1579.cat
Black segments are analyzed here.   Roll mouse over color images to view segments.
Best viewed in a wide browser window (1200 pixels or more).   Download SED & P(z) plots to view larger versions.
In P(z) plots: Yellow lines mark the cluster redshift z = 0.284,  

Object #1579   x,y = (1991, 3321)   RA, Dec = (02:32:21.168, -44:19:52.68) = (38.08820, -44.33130)   BPZ = 0.227 [0.078--3.201]   type = 11.00 (SB11_A_0_l)   chisq2 = 0.35   ODDS = 0.14   z_cluster = 0.284