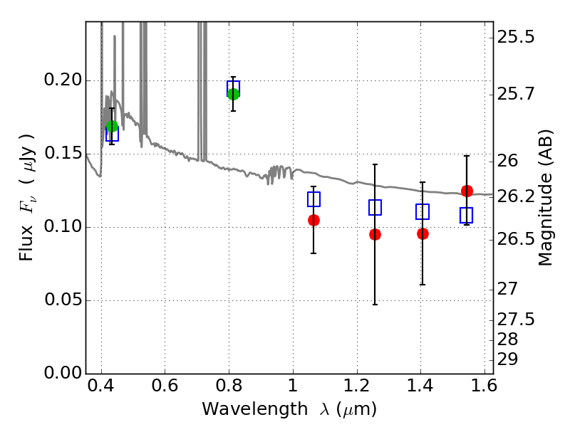
RXC0232-44 ACS+IR detection object #1355

Color images and BPZ results
Catalog: 1355.cat
Black segments are analyzed here.   Roll mouse over color images to view segments.
Best viewed in a wide browser window (1200 pixels or more).   Download SED & P(z) plots to view larger versions.
In P(z) plots: Yellow lines mark the cluster redshift z = 0.284,  

Object #1355   x,y = (2299, 3438)   RA, Dec = (02:32:19.440, -44:19:45.84) = (38.08100, -44.32940)   BPZ = 0.081 [0.066--3.034]   type = 11.00 (SB11_A_0_l)   chisq2 = 0.32   ODDS = 0.29   z_cluster = 0.284