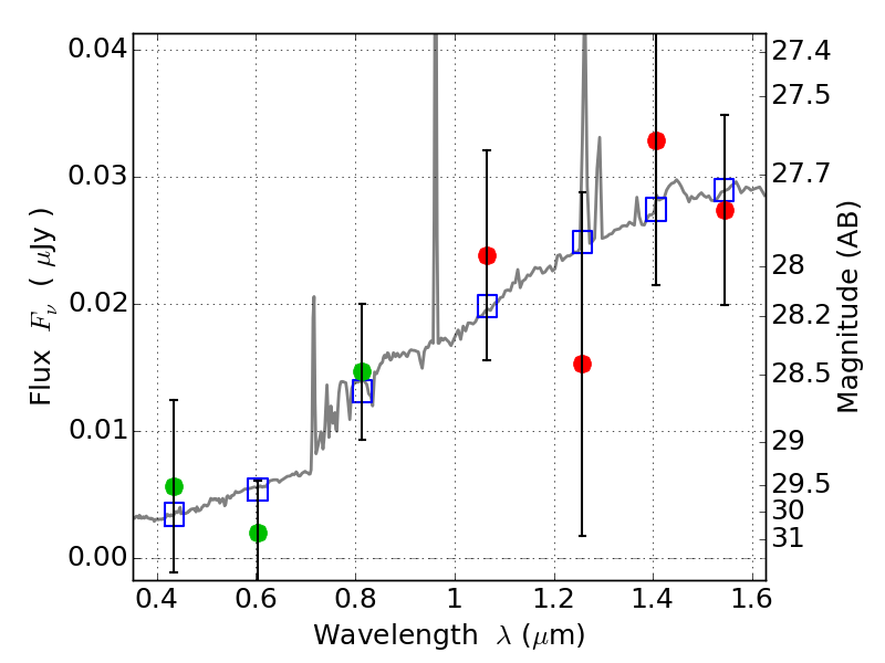
RXC0142+44 IR detection object #438

Color images and BPZ results
Catalog: 438.cat
Black segments are analyzed here.   Roll mouse over color images to view segments.
Best viewed in a wide browser window (1200 pixels or more).   Download SED & P(z) plots to view larger versions.
In P(z) plots: Yellow lines mark the cluster redshift z = 0.341,  

Object #438   x,y = (2338, 2826)   RA, Dec = (01:42:55.728, 44:38:22.92) = (25.73220, 44.63970)   BPZ = 0.918 [0.388--5.838]   type = 7.40 (Scd_B10 - SB1_B10)   chisq2 = 0.43   ODDS = 0.11   z_cluster = 0.341