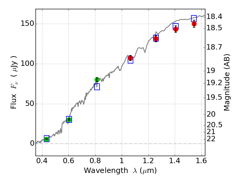
RXC0142+44 IR detection object #1003

Color images and BPZ results
Catalog: 1003.cat
Black segments are analyzed here.   Roll mouse over color images to view segments.
Best viewed in a wide browser window (1200 pixels or more).   Download SED & P(z) plots to view larger versions.
In P(z) plots: Yellow lines mark the cluster redshift z = 0.341,  

Object #1003   x,y = (2791, 1814)   RA, Dec = (01:42:53.184, 44:37:22.08) = (25.72160, 44.62280)   BPZ = 0.385 [0.293--0.411]   type = 3.90 (Ell4_A_0 - Ell5_A_0)   chisq2 = 0.29   ODDS = 0.86   z_cluster = 0.341