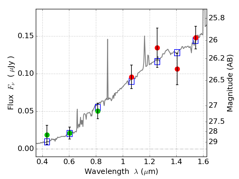
RXC0142+44 IR detection object #111

Color images and BPZ results
Catalog: 111.cat
Black segments are analyzed here.   Roll mouse over color images to view segments.
Best viewed in a wide browser window (1200 pixels or more).   Download SED & P(z) plots to view larger versions.
In P(z) plots: Yellow lines mark the cluster redshift z = 0.341,  

Object #111   x,y = (2153, 3504)   RA, Dec = (01:42:56.760, 44:39:03.60) = (25.73650, 44.65100)   BPZ = 0.773 [0.385--1.750]   type = 6.60 (Scd_B10 - Sbc_B10)   stellarity = 0.00   chisq2 = 0.47   ODDS = 0.14   z_cluster = 0.341