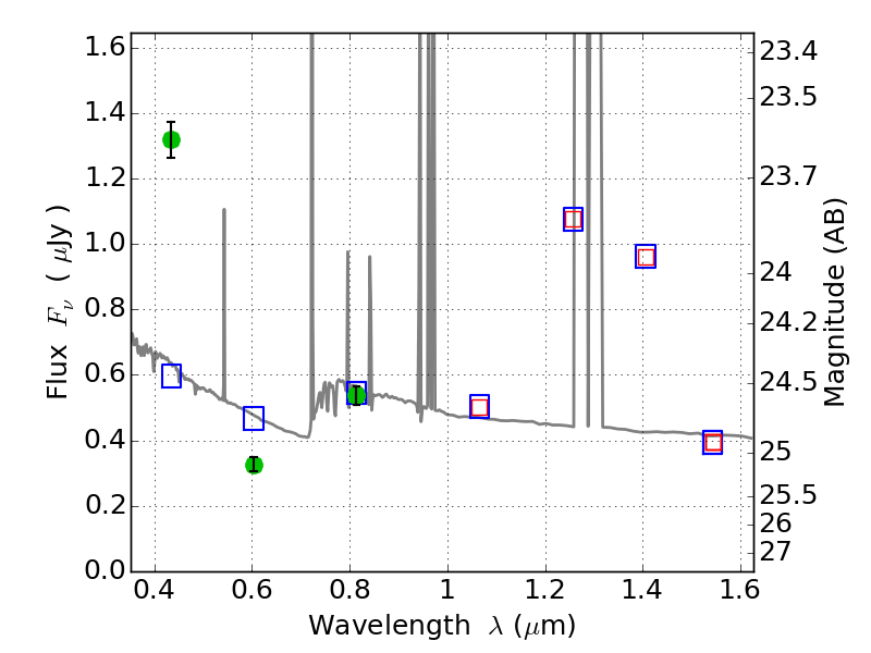
RXC0142+44 ACS+IR detection object #956
Color images and BPZ results
Catalog: 956.cat
Black segments are analyzed here. Roll mouse over color images to view segments.
Best viewed in a wide browser window (1200 pixels or more). Download SED & P(z) plots to view larger versions.
In P(z) plots: Yellow lines mark the cluster redshift z = 0.341,
Object #956 x,y = (4199, 3740) RA, Dec = (01:42:45.264, 44:39:17.64) = (25.68860, 44.65490) BPZ = 0.941 [0.911--1.064] type = 11.00 (SB11_A_0_l) chisq2 = 68.08 ODDS = 0.87 z_cluster = 0.341