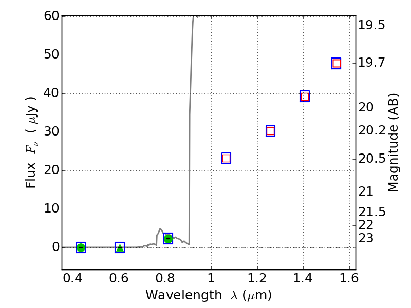
RXC0142+44 ACS+IR detection object #5449
Color images and BPZ results
Catalog: 5449.cat
Black segments are analyzed here. Roll mouse over color images to view segments.
Best viewed in a wide browser window (1200 pixels or more). Download SED & P(z) plots to view larger versions.
In P(z) plots: Yellow lines mark the cluster redshift z = 0.341,
Object #5449 x,y = (901, 902) RA, Dec = (01:43:03.792, 44:36:27.36) = (25.76580, 44.60760) BPZ = 6.450 [6.092--8.557] type = 6.00 (Sbc_B10) chisq2 = 0.00 ODDS = 0.49 z_cluster = 0.341