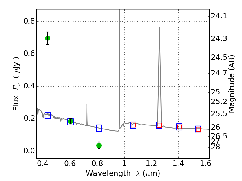
RXC0142+44 ACS+IR detection object #490
Color images and BPZ results
Catalog: 490.cat
Black segments are analyzed here. Roll mouse over color images to view segments.
Best viewed in a wide browser window (1200 pixels or more). Download SED & P(z) plots to view larger versions.
In P(z) plots: Yellow lines mark the cluster redshift z = 0.341,
Object #490 x,y = (643, 3979) RA, Dec = (01:43:05.256, 44:39:32.04) = (25.77190, 44.65890) BPZ = 1.593 [1.447--2.099] type = 11.00 (SB11_A_0_l) chisq2 = 176.50 ODDS = 0.57 z_cluster = 0.341