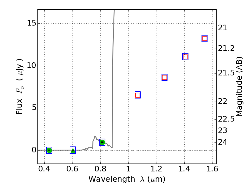
RXC0142+44 ACS+IR detection object #4780
Color images and BPZ results
Catalog: 4780.cat
Black segments are analyzed here. Roll mouse over color images to view segments.
Best viewed in a wide browser window (1200 pixels or more). Download SED & P(z) plots to view larger versions.
In P(z) plots: Yellow lines mark the cluster redshift z = 0.341,
Object #4780 x,y = (4308, 1302) RA, Dec = (01:42:44.664, 44:36:51.48) = (25.68610, 44.61430) BPZ = 6.282 [5.923--8.830] type = 6.00 (Sbc_B10) chisq2 = 0.00 ODDS = 0.40 z_cluster = 0.341