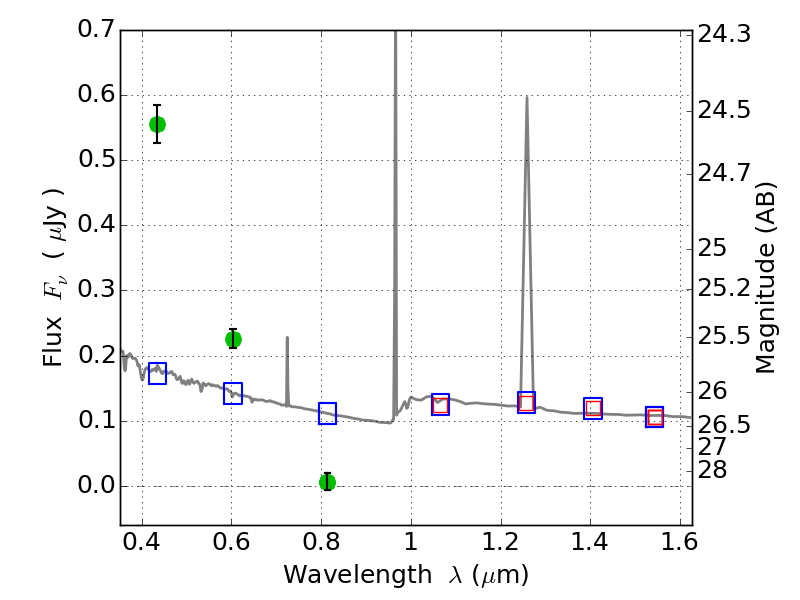
RXC0142+44 ACS+IR detection object #4718
Color images and BPZ results
Catalog: 4718.cat
Black segments are analyzed here. Roll mouse over color images to view segments.
Best viewed in a wide browser window (1200 pixels or more). Download SED & P(z) plots to view larger versions.
In P(z) plots: Yellow lines mark the cluster redshift z = 0.341,
Object #4718 x,y = (4347, 1389) RA, Dec = (01:42:44.448, 44:36:56.52) = (25.68520, 44.61570) BPZ = 1.594 [0.017--2.012] type = 11.00 (SB11_A_0_l) chisq2 = 245.60 ODDS = 0.64 z_cluster = 0.341