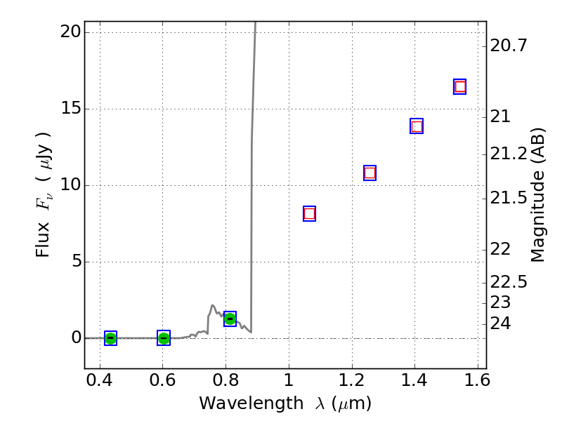
RXC0142+44 ACS+IR detection object #4522
Color images and BPZ results
Catalog: 4522.cat
Black segments are analyzed here. Roll mouse over color images to view segments.
Best viewed in a wide browser window (1200 pixels or more). Download SED & P(z) plots to view larger versions.
In P(z) plots: Yellow lines mark the cluster redshift z = 0.341,
Object #4522 x,y = (4312, 1486) RA, Dec = (01:42:44.640, 44:37:02.28) = (25.68600, 44.61730) BPZ = 6.254 [5.911--8.654] type = 6.00 (Sbc_B10) chisq2 = 0.00 ODDS = 0.46 z_cluster = 0.341