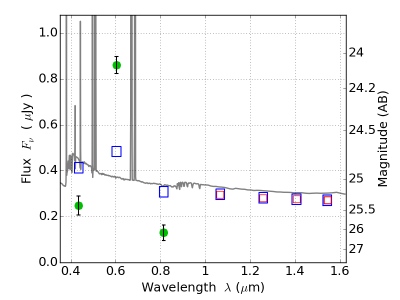
RXC0142+44 ACS+IR detection object #3877
Color images and BPZ results
Catalog: 3877.cat
Black segments are analyzed here. Roll mouse over color images to view segments.
Best viewed in a wide browser window (1200 pixels or more). Download SED & P(z) plots to view larger versions.
In P(z) plots: Yellow lines mark the cluster redshift z = 0.341,
Object #3877 x,y = (790, 1940) RA, Dec = (01:43:04.440, 44:37:29.64) = (25.76850, 44.62490) BPZ = 0.017 [0.010--0.035] type = 11.00 (SB11_A_0_l) chisq2 = 98.65 ODDS = 1.00 z_cluster = 0.341