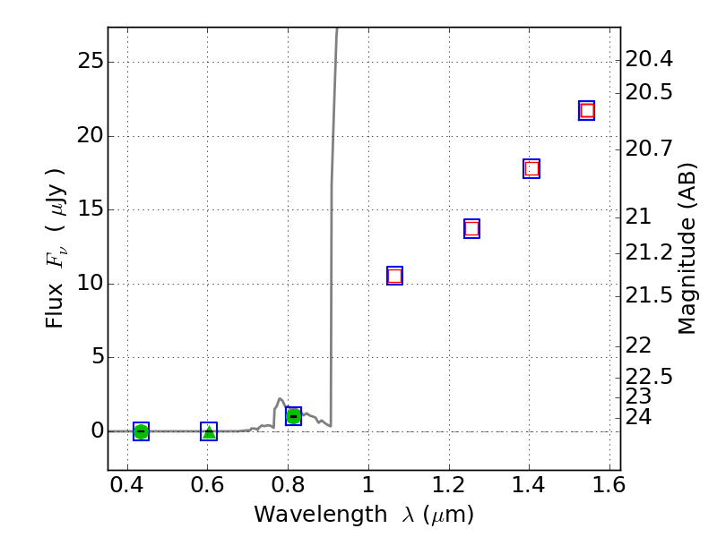
RXC0142+44 ACS+IR detection object #3875
Color images and BPZ results
Catalog: 3875.cat
Black segments are analyzed here. Roll mouse over color images to view segments.
Best viewed in a wide browser window (1200 pixels or more). Download SED & P(z) plots to view larger versions.
In P(z) plots: Yellow lines mark the cluster redshift z = 0.341,
Object #3875 x,y = (4236, 2027) RA, Dec = (01:42:45.048, 44:37:34.68) = (25.68770, 44.62630) BPZ = 6.458 [6.114--8.873] type = 6.00 (Sbc_B10) chisq2 = 0.00 ODDS = 0.43 z_cluster = 0.341