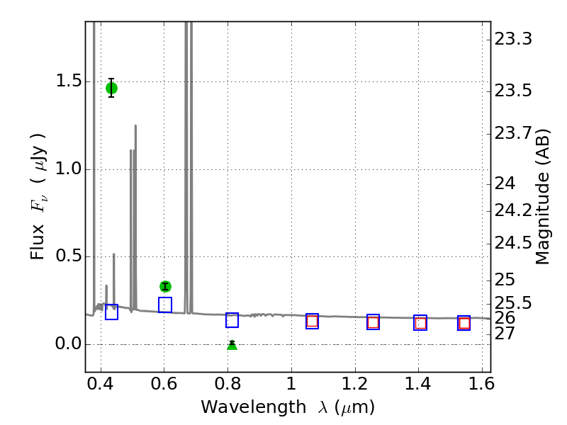
RXC0142+44 ACS+IR detection object #387
Color images and BPZ results
Catalog: 387.cat
Black segments are analyzed here. Roll mouse over color images to view segments.
Best viewed in a wide browser window (1200 pixels or more). Download SED & P(z) plots to view larger versions.
In P(z) plots: Yellow lines mark the cluster redshift z = 0.341,
Object #387 x,y = (4195, 4052) RA, Dec = (01:42:45.288, 44:39:36.36) = (25.68870, 44.66010) BPZ = 0.019 [0.010--1.614] type = 11.00 (SB11_A_0_l) chisq2 = 629.60 ODDS = 0.95 z_cluster = 0.341