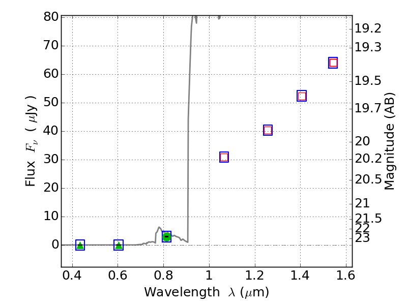
RXC0142+44 ACS+IR detection object #3818
Color images and BPZ results
Catalog: 3818.cat
Black segments are analyzed here. Roll mouse over color images to view segments.
Best viewed in a wide browser window (1200 pixels or more). Download SED & P(z) plots to view larger versions.
In P(z) plots: Yellow lines mark the cluster redshift z = 0.341,
Object #3818 x,y = (4297, 1984) RA, Dec = (01:42:44.712, 44:37:32.16) = (25.68630, 44.62560) BPZ = 6.475 [6.217--8.484] type = 6.00 (Sbc_B10) chisq2 = 0.00 ODDS = 0.50 z_cluster = 0.341