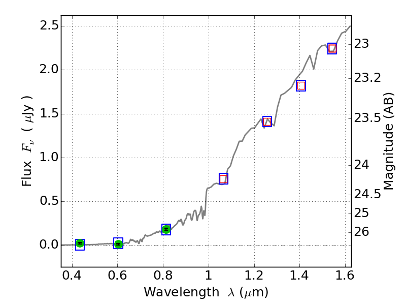
RXC0142+44 ACS+IR detection object #3766

Color images and BPZ results
Catalog: 3766.cat
Black segments are analyzed here.   Roll mouse over color images to view segments.
Best viewed in a wide browser window (1200 pixels or more).   Download SED & P(z) plots to view larger versions.
In P(z) plots: Yellow lines mark the cluster redshift z = 0.341,  

Object #3766   x,y = (834, 2015)   RA, Dec = (01:43:04.176, 44:37:34.32) = (25.76740, 44.62620)   BPZ = 1.477 [1.352--7.865]   type = 2.00 (Ell6_A_0)   chisq2 = 0.02   ODDS = 0.08   z_cluster = 0.341