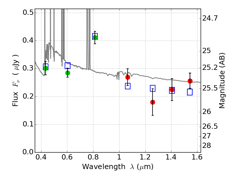
RXC0142+44 ACS+IR detection object #3705
Color images and BPZ results
Catalog: 3705.cat
Black segments are analyzed here. Roll mouse over color images to view segments.
Best viewed in a wide browser window (1200 pixels or more). Download SED & P(z) plots to view larger versions.
In P(z) plots: Yellow lines mark the cluster redshift z = 0.341,
Object #3705 x,y = (3183, 2035) RA, Dec = (01:42:50.976, 44:37:35.40) = (25.71240, 44.62650) BPZ = 0.155 [0.089--0.256] type = 11.00 (SB11_A_0_l) chisq2 = 0.76 ODDS = 0.66 z_cluster = 0.341