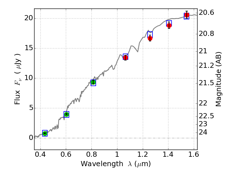
RXC0142+44 ACS+IR detection object #3569

Color images and BPZ results
Catalog: 3569.cat
Black segments are analyzed here.   Roll mouse over color images to view segments.
Best viewed in a wide browser window (1200 pixels or more).   Download SED & P(z) plots to view larger versions.
In P(z) plots: Yellow lines mark the cluster redshift z = 0.341,  

Object #3569   x,y = (1925, 2119)   RA, Dec = (01:42:58.056, 44:37:40.44) = (25.74190, 44.62790)   BPZ = 0.364 [0.304--0.401]   type = 3.30 (Ell5_A_0 - Ell4_A_0)   chisq2 = 0.05   ODDS = 0.96   z_cluster = 0.341