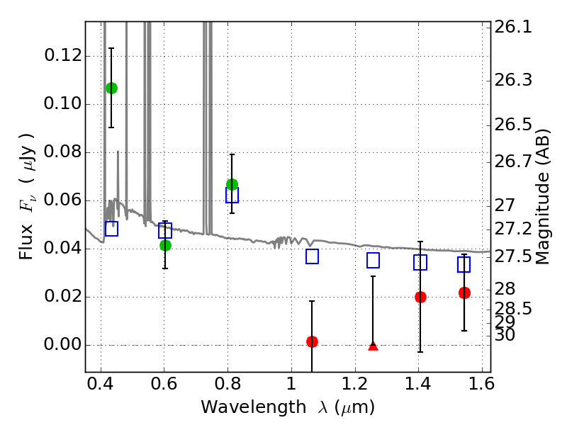
RXC0142+44 ACS+IR detection object #3468

Color images and BPZ results
Catalog: 3468.cat
Black segments are analyzed here.   Roll mouse over color images to view segments.
Best viewed in a wide browser window (1200 pixels or more).   Download SED & P(z) plots to view larger versions.
In P(z) plots: Yellow lines mark the cluster redshift z = 0.341,  

Object #3468   x,y = (2425, 2214)   RA, Dec = (01:42:55.248, 44:37:46.20) = (25.73020, 44.62950)   BPZ = 0.107 [0.077--2.539]   type = 11.00 (SB11_A_0_l)   chisq2 = 2.86   ODDS = 0.46   z_cluster = 0.341