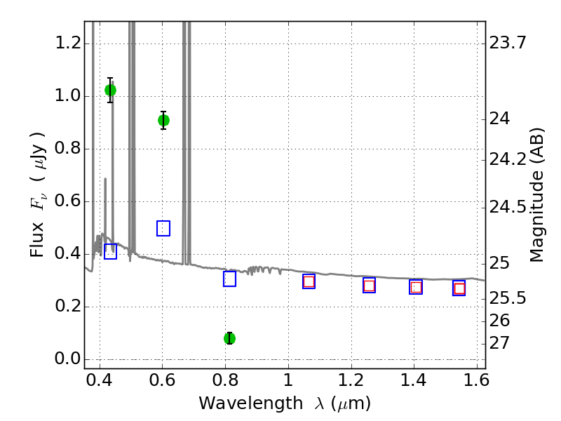
RXC0142+44 ACS+IR detection object #3345
Color images and BPZ results
Catalog: 3345.cat
Black segments are analyzed here. Roll mouse over color images to view segments.
Best viewed in a wide browser window (1200 pixels or more). Download SED & P(z) plots to view larger versions.
In P(z) plots: Yellow lines mark the cluster redshift z = 0.341,
Object #3345 x,y = (4250, 3039) RA, Dec = (01:42:44.976, 44:38:35.52) = (25.68740, 44.64320) BPZ = 0.019 [0.010--0.032] type = 11.00 (SB11_A_0_l) chisq2 = 255.50 ODDS = 1.00 z_cluster = 0.341