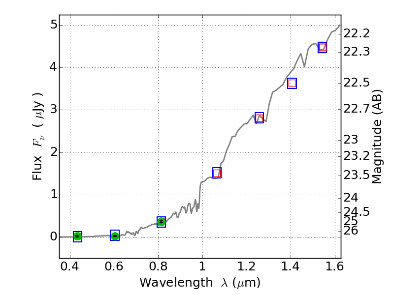
RXC0142+44 ACS+IR detection object #3171
Color images and BPZ results
Catalog: 3171.cat
Black segments are analyzed here. Roll mouse over color images to view segments.
Best viewed in a wide browser window (1200 pixels or more). Download SED & P(z) plots to view larger versions.
In P(z) plots: Yellow lines mark the cluster redshift z = 0.341,
Object #3171 x,y = (750, 2333) RA, Dec = (01:43:04.656, 44:37:53.40) = (25.76940, 44.63150) BPZ = 1.476 [1.341--5.884] type = 2.00 (Ell6_A_0) chisq2 = 0.01 ODDS = 0.12 z_cluster = 0.341