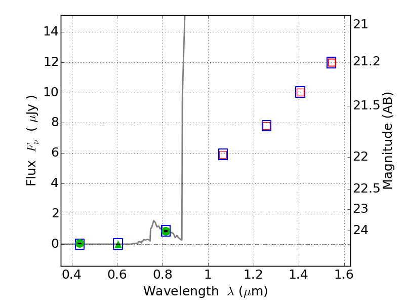
RXC0142+44 ACS+IR detection object #2906
Color images and BPZ results
Catalog: 2906.cat
Black segments are analyzed here. Roll mouse over color images to view segments.
Best viewed in a wide browser window (1200 pixels or more). Download SED & P(z) plots to view larger versions.
In P(z) plots: Yellow lines mark the cluster redshift z = 0.341,
Object #2906 x,y = (4241, 2815) RA, Dec = (01:42:45.024, 44:38:22.20) = (25.68760, 44.63950) BPZ = 6.277 [5.903--9.068] type = 6.00 (Sbc_B10) chisq2 = 0.00 ODDS = 0.40 z_cluster = 0.341