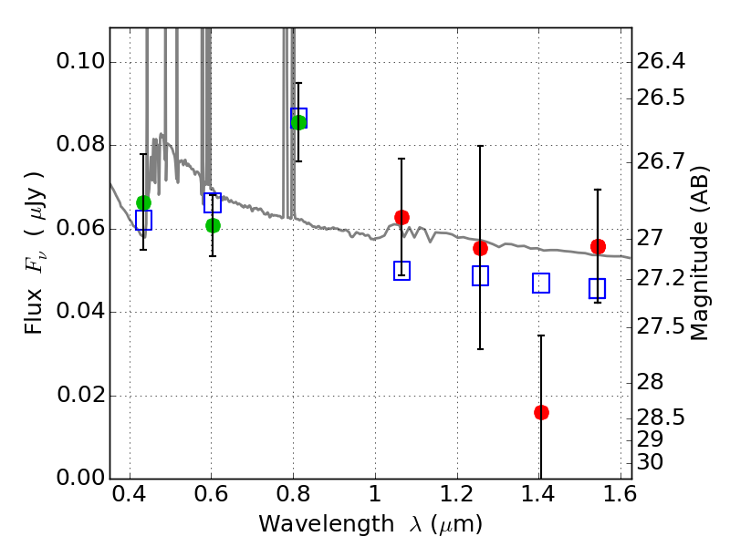
RXC0142+44 ACS+IR detection object #2383
Color images and BPZ results
Catalog: 2383.cat
Black segments are analyzed here. Roll mouse over color images to view segments.
Best viewed in a wide browser window (1200 pixels or more). Download SED & P(z) plots to view larger versions.
In P(z) plots: Yellow lines mark the cluster redshift z = 0.341,
Object #2383 x,y = (3009, 2763) RA, Dec = (01:42:51.960, 44:38:18.96) = (25.71650, 44.63860) BPZ = 0.193 [0.092--0.907] type = 11.00 (SB11_A_0_l) chisq2 = 0.76 ODDS = 0.32 z_cluster = 0.341