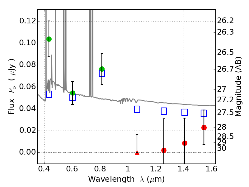
RXC0142+44 ACS+IR detection object #2324
Color images and BPZ results
Catalog: 2324.cat
Black segments are analyzed here. Roll mouse over color images to view segments.
Best viewed in a wide browser window (1200 pixels or more). Download SED & P(z) plots to view larger versions.
In P(z) plots: Yellow lines mark the cluster redshift z = 0.341,
Object #2324 x,y = (2538, 2787) RA, Dec = (01:42:54.600, 44:38:20.40) = (25.72750, 44.63900) BPZ = 0.111 [0.071--2.495] type = 11.00 (SB11_A_0_l) chisq2 = 2.72 ODDS = 0.56 z_cluster = 0.341