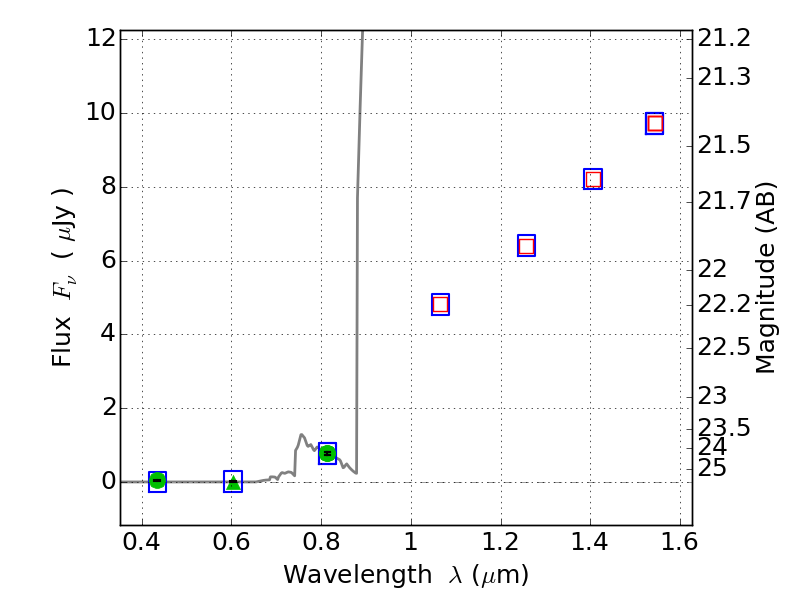
RXC0142+44 ACS+IR detection object #2288

Color images and BPZ results
Catalog: 2288.cat
Black segments are analyzed here.   Roll mouse over color images to view segments.
Best viewed in a wide browser window (1200 pixels or more).   Download SED & P(z) plots to view larger versions.
In P(z) plots: Yellow lines mark the cluster redshift z = 0.341,  

Object #2288   x,y = (722, 2807)   RA, Dec = (01:43:04.800, 44:38:21.84) = (25.77000, 44.63940)   BPZ = 6.234 [5.818--8.947]   type = 6.00 (Sbc_B10)   chisq2 = 0.00   ODDS = 0.39   z_cluster = 0.341