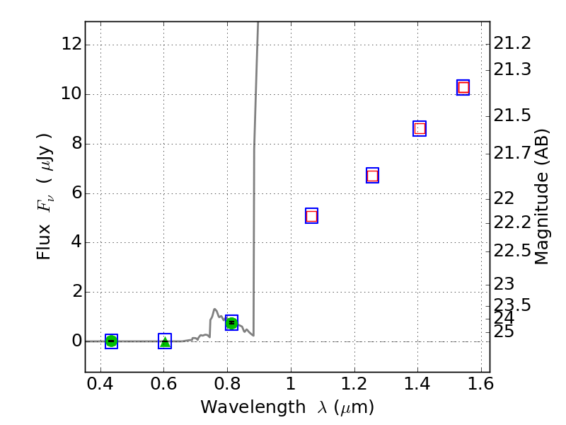
RXC0142+44 ACS+IR detection object #1846
Color images and BPZ results
Catalog: 1846.cat
Black segments are analyzed here. Roll mouse over color images to view segments.
Best viewed in a wide browser window (1200 pixels or more). Download SED & P(z) plots to view larger versions.
In P(z) plots: Yellow lines mark the cluster redshift z = 0.341,
Object #1846 x,y = (696, 3235) RA, Dec = (01:43:04.944, 44:38:47.40) = (25.77060, 44.64650) BPZ = 6.272 [5.870--8.884] type = 6.00 (Sbc_B10) chisq2 = 0.00 ODDS = 0.39 z_cluster = 0.341