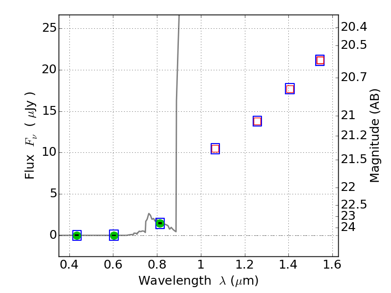
RXC0142+44 ACS+IR detection object #1562

Color images and BPZ results
Catalog: 1562.cat
Black segments are analyzed here.   Roll mouse over color images to view segments.
Best viewed in a wide browser window (1200 pixels or more).   Download SED & P(z) plots to view larger versions.
In P(z) plots: Yellow lines mark the cluster redshift z = 0.341,  

Object #1562   x,y = (681, 3305)   RA, Dec = (01:43:05.040, 44:38:51.36) = (25.77100, 44.64760)   BPZ = 6.298 [5.980--8.732]   type = 6.00 (Sbc_B10)   chisq2 = 0.00   ODDS = 0.42   z_cluster = 0.341