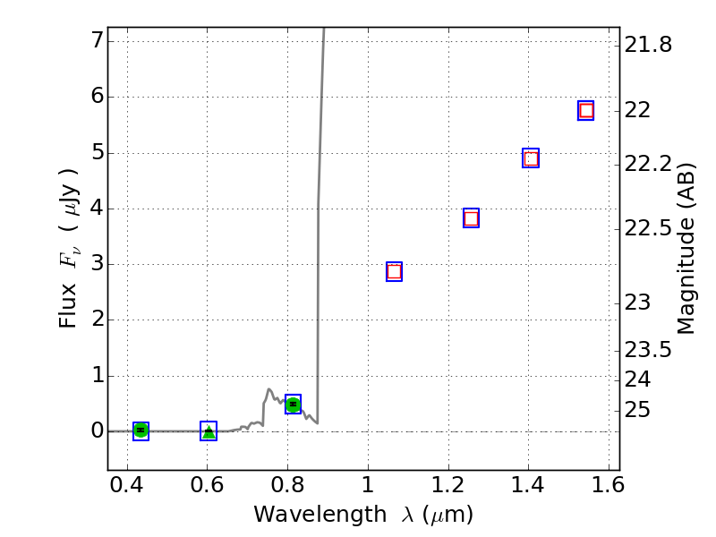
RXC0142+44 ACS+IR detection object #1496

Color images and BPZ results
Catalog: 1496.cat
Black segments are analyzed here.   Roll mouse over color images to view segments.
Best viewed in a wide browser window (1200 pixels or more).   Download SED & P(z) plots to view larger versions.
In P(z) plots: Yellow lines mark the cluster redshift z = 0.341,  

Object #1496   x,y = (674, 3346)   RA, Dec = (01:43:05.088, 44:38:53.88) = (25.77120, 44.64830)   BPZ = 6.210 [5.712--9.000]   type = 6.00 (Sbc_B10)   chisq2 = 0.00   ODDS = 0.37   z_cluster = 0.341