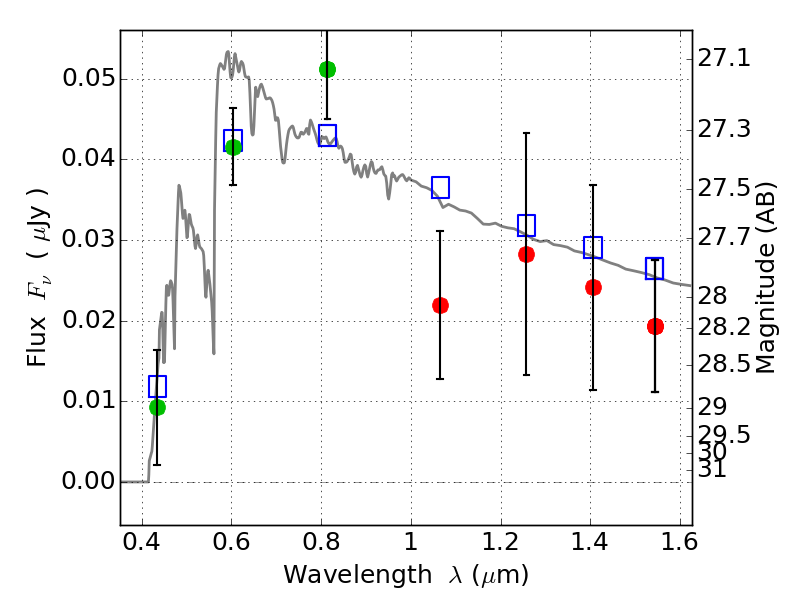
RXC0142+44 ACS+IR detection object #1404
Color images and BPZ results
Catalog: 1404.cat
Black segments are analyzed here. Roll mouse over color images to view segments.
Best viewed in a wide browser window (1200 pixels or more). Download SED & P(z) plots to view larger versions.
In P(z) plots: Yellow lines mark the cluster redshift z = 0.341,
Object #1404 x,y = (1935, 3415) RA, Dec = (01:42:57.984, 44:38:58.20) = (25.74160, 44.64950) BPZ = 3.619 [0.170--3.961] type = 11.00 (SB11_A_0_l) chisq2 = 1.07 ODDS = 0.65 z_cluster = 0.341