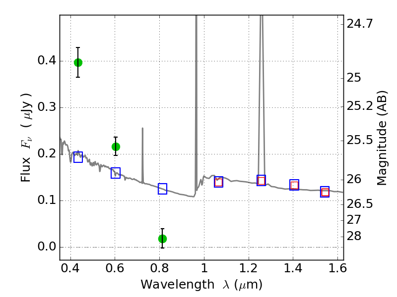
RXC0142+44 ACS+IR detection object #4973

Color images and BPZ results
Catalog: 4973.cat
Black segments are analyzed here.   Roll mouse over color images to view segments.
Best viewed in a wide browser window (1200 pixels or more).   Download SED & P(z) plots to view larger versions.
In P(z) plots: Yellow lines mark the cluster redshift z = 0.341,  

Object #4973   x,y = (871, 1195)   RA, Dec = (01:43:03.960, 44:36:45.00) = (25.76650, 44.61250)   BPZ = 1.594 [1.438--2.146]   type = 11.00 (SB11_A_0_l)   chisq2 = 79.22   ODDS = 0.45   z_cluster = 0.341