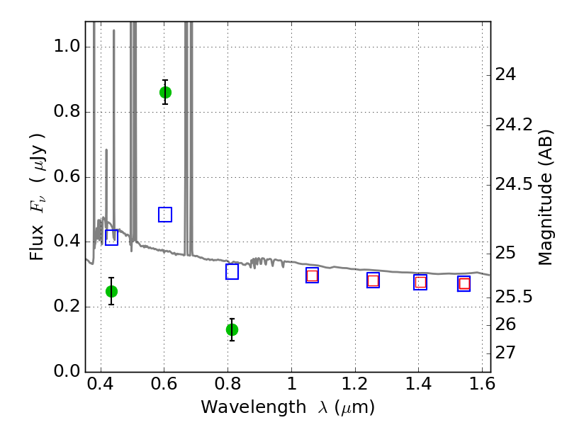
RXC0142+44 ACS+IR detection object #3877

Color images and BPZ results
Catalog: 3877.cat
Black segments are analyzed here.   Roll mouse over color images to view segments.
Best viewed in a wide browser window (1200 pixels or more).   Download SED & P(z) plots to view larger versions.
In P(z) plots: Yellow lines mark the cluster redshift z = 0.341,  

Object #3877   x,y = (790, 1940)   RA, Dec = (01:43:04.440, 44:37:29.64) = (25.76850, 44.62490)   BPZ = 0.017 [0.010--0.035]   type = 11.00 (SB11_A_0_l)   chisq2 = 98.65   ODDS = 1.00   z_cluster = 0.341