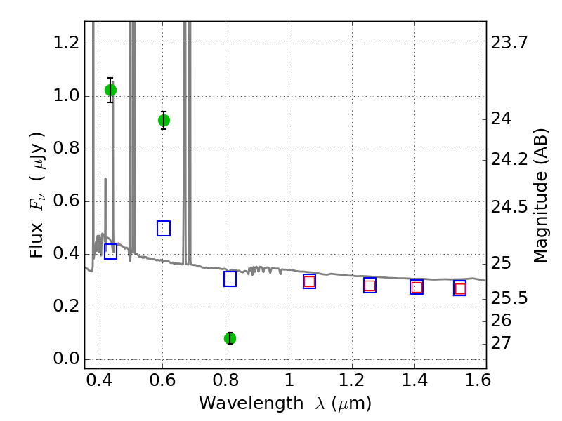
RXC0142+44 ACS+IR detection object #3345

Color images and BPZ results
Catalog: 3345.cat
Black segments are analyzed here.   Roll mouse over color images to view segments.
Best viewed in a wide browser window (1200 pixels or more).   Download SED & P(z) plots to view larger versions.
In P(z) plots: Yellow lines mark the cluster redshift z = 0.341,  

Object #3345   x,y = (4250, 3039)   RA, Dec = (01:42:44.976, 44:38:35.52) = (25.68740, 44.64320)   BPZ = 0.019 [0.010--0.032]   type = 11.00 (SB11_A_0_l)   chisq2 = 255.50   ODDS = 1.00   z_cluster = 0.341