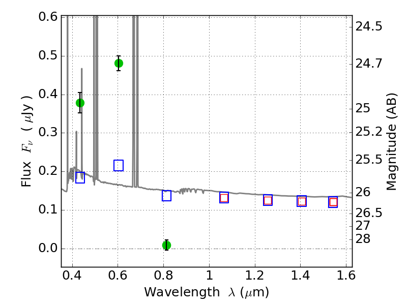
RXC0142+44 ACS+IR detection object #3051

Color images and BPZ results
Catalog: 3051.cat
Black segments are analyzed here.   Roll mouse over color images to view segments.
Best viewed in a wide browser window (1200 pixels or more).   Download SED & P(z) plots to view larger versions.
In P(z) plots: Yellow lines mark the cluster redshift z = 0.341,  

Object #3051   x,y = (4260, 2406)   RA, Dec = (01:42:44.928, 44:37:57.72) = (25.68720, 44.63270)   BPZ = 0.017 [0.010--0.033]   type = 11.00 (SB11_A_0_l)   chisq2 = 249.80   ODDS = 1.00   z_cluster = 0.341