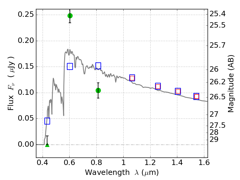
RXC0142+44 ACS+IR detection object #252

Color images and BPZ results
Catalog: 252.cat
Black segments are analyzed here.   Roll mouse over color images to view segments.
Best viewed in a wide browser window (1200 pixels or more).   Download SED & P(z) plots to view larger versions.
In P(z) plots: Yellow lines mark the cluster redshift z = 0.341,  

Object #252   x,y = (627, 4108)   RA, Dec = (01:43:05.352, 44:39:39.60) = (25.77230, 44.66100)   BPZ = 3.593 [3.384--3.700]   type = 11.00 (SB11_A_0_l)   chisq2 = 51.89   ODDS = 0.96   z_cluster = 0.341