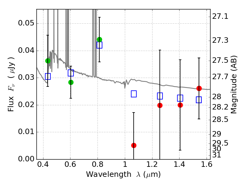
RXC0142+44 ACS+IR detection object #2252

Color images and BPZ results
Catalog: 2252.cat
Black segments are analyzed here.   Roll mouse over color images to view segments.
Best viewed in a wide browser window (1200 pixels or more).   Download SED & P(z) plots to view larger versions.
In P(z) plots: Yellow lines mark the cluster redshift z = 0.341,  

Object #2252   x,y = (3575, 2829)   RA, Dec = (01:42:48.768, 44:38:22.92) = (25.70320, 44.63970)   BPZ = 0.171 [0.092--3.133]   type = 11.00 (SB11_A_0_l)   chisq2 = 0.50   ODDS = 0.25   z_cluster = 0.341