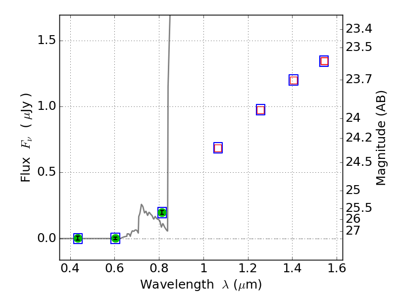
RXC0142+44 ACS+IR detection object #2036

Color images and BPZ results
Catalog: 2036.cat
Black segments are analyzed here.   Roll mouse over color images to view segments.
Best viewed in a wide browser window (1200 pixels or more).   Download SED & P(z) plots to view larger versions.
In P(z) plots: Yellow lines mark the cluster redshift z = 0.341,  

Object #2036   x,y = (721, 2949)   RA, Dec = (01:43:04.824, 44:38:30.12) = (25.77010, 44.64170)   BPZ = 5.897 [1.497--8.815]   type = 6.00 (Sbc_B10)   chisq2 = 0.00   ODDS = 0.22   z_cluster = 0.341