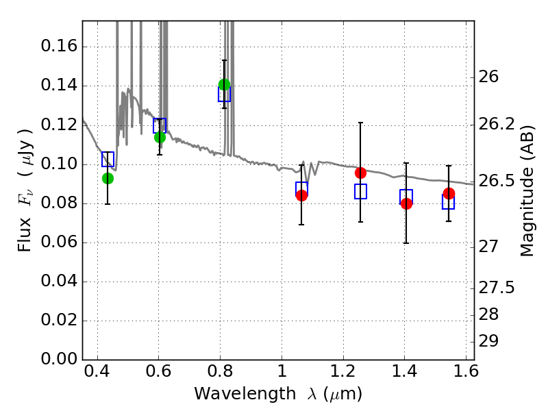
RXC0142+44 ACS+IR detection object #2020

Color images and BPZ results
Catalog: 2020.cat
Black segments are analyzed here.   Roll mouse over color images to view segments.
Best viewed in a wide browser window (1200 pixels or more).   Download SED & P(z) plots to view larger versions.
In P(z) plots: Yellow lines mark the cluster redshift z = 0.341,  

Object #2020   x,y = (2362, 2962)   RA, Dec = (01:42:55.584, 44:38:31.20) = (25.73160, 44.64200)   BPZ = 0.251 [0.118--0.362]   type = 11.00 (SB11_A_0_l)   chisq2 = 0.17   ODDS = 0.56   z_cluster = 0.341